环状碳杂卟啉阵列
环状卟啉阵列不仅在模拟天然光捕获系统和超分子化学方面具有重要的应用前景,而且其自身独特的π共轭结构和分子构型,使其在合成化学领域备受关注。环状卟啉阵列一般分为非共价相连和共价相连两种。非共价相连的环状卟啉阵列一般通过自组装形成,虽然合成相对简单,但是结构的稳定性较差;而共价环状卟啉阵列结构上更加稳定,卟啉环之间的空间排布更加可控,因此受到化学家们更多的关注(图1)。但是传统的共价环状卟啉阵列基本上是以芳香性的四吡咯卟啉为结构单元,而非芳香或反芳香的共价环状卟啉阵列则未见报道。然而非芳香或反芳香的共轭体系与芳香体系的性质差别很大,有可能发现新的应用潜能。

图1. 代表性的共价环状卟啉阵列结构
最近,北京师范大学柯贤胜课题组首次报道了两个基于碳杂卟啉的共价环状阵列(图2)。碳杂卟啉是卟啉的一个或多个吡咯氮原子被碳原子取代后的衍生物,可以根据非吡咯单元的不同,呈现出芳香性,反芳香或者非芳香性。本文以非芳香的联苯碳杂卟啉为单体,巧妙地引入二溴取代,然后通过一锅法Yamamoto偶联,经过GPC分离和重结晶,可以14%和4%的收率分别得到共价环状三聚体和四聚体。这两个新颖的环状卟啉阵列,均含有一个环间苯撑(CMP)的内核,因此构筑了卟啉化学和环状联苯化学之间的新桥梁,有可能作为一类新的大环主体化合物。

图2. 环状碳杂卟啉阵列的合成和结构
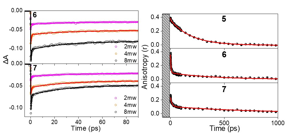
核磁共振氢谱和紫外可见光谱以及理论计算表明,三聚体和四聚体依然保持非芳香性。进一步结合超快光谱,作者研究了非芳香碳杂卟啉单元之间的能量传递行为。通过瞬态吸收各向异性和泵浦能量依赖的激发态动力学研究,发现碳杂卟啉单元之间能够发生有效的能量传递。由于三聚体和四聚体的空间结构不同,导致二者跃迁偶极取向产生了明显的差异,进而使它们的激子能量跳跃(EEH)时间差异较大,分别为18和35ps,这项研究为非芳香大环体系之间的能量传递提供了参考。

图3. 泵浦能量依赖瞬态吸收和瞬态吸收各向异性动力学曲线图。
该工作得到了韩国延世大学的Dongho Kim教授课题组和美国得州大学奥斯汀分校的Jonathan Sessler教授课题组的大力支持和帮助。相关成果近期发表于期刊《Journal of the American Chemical Society》: Cyclic Carbaporphyrin Arrays. Haodan He, Seokwon Lee, Ningchao Liu, Xiaotong Zhang, Yuying Wang, Vincent M. Lynch, Dongho Kim*, Jonathan L. Sessler* and Xian-Sheng Ke*. DOI: 10.1021/jacs.2c11788。北京师范大学是该工作的第一单位;bat365官网登录入口2021级博士生何浩丹是论文的第一作者,该工作受到北京师范大学启动经费的支持。